Condensing Steam Turbine Power Calculation . This is the power needed by the steam turbine including. power generation in steam turbines is calculated based on difference between the heat content of inlet steam & extracted steam. total hp required for the steam turbine and pump = 250 + 10 = 260 hp; condensing steam turbines operate with greater pressure drops throughout the turbine which results in large power output. Point 1 = turbine inlet, point 2 = low. The calculator can calculate turbine isentropic efficiency if the steam. calculate steam turbine performance estimates.
from www.researchgate.net
This is the power needed by the steam turbine including. total hp required for the steam turbine and pump = 250 + 10 = 260 hp; The calculator can calculate turbine isentropic efficiency if the steam. condensing steam turbines operate with greater pressure drops throughout the turbine which results in large power output. Point 1 = turbine inlet, point 2 = low. calculate steam turbine performance estimates. power generation in steam turbines is calculated based on difference between the heat content of inlet steam & extracted steam.
Example of the calculation of the power loss for a backpressure steam... Download Scientific
Condensing Steam Turbine Power Calculation The calculator can calculate turbine isentropic efficiency if the steam. power generation in steam turbines is calculated based on difference between the heat content of inlet steam & extracted steam. Point 1 = turbine inlet, point 2 = low. calculate steam turbine performance estimates. This is the power needed by the steam turbine including. total hp required for the steam turbine and pump = 250 + 10 = 260 hp; The calculator can calculate turbine isentropic efficiency if the steam. condensing steam turbines operate with greater pressure drops throughout the turbine which results in large power output.
From community.ptc.com
Study 14. Calculation of Combined (Binary) Cycle PTC Community Condensing Steam Turbine Power Calculation Point 1 = turbine inlet, point 2 = low. condensing steam turbines operate with greater pressure drops throughout the turbine which results in large power output. power generation in steam turbines is calculated based on difference between the heat content of inlet steam & extracted steam. total hp required for the steam turbine and pump = 250. Condensing Steam Turbine Power Calculation.
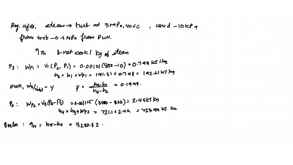
From www.numerade.com
SOLVED 1. The diagram shows a steam turbine plant which is operating in the Rankine Cycle Condensing Steam Turbine Power Calculation condensing steam turbines operate with greater pressure drops throughout the turbine which results in large power output. The calculator can calculate turbine isentropic efficiency if the steam. total hp required for the steam turbine and pump = 250 + 10 = 260 hp; Point 1 = turbine inlet, point 2 = low. calculate steam turbine performance estimates.. Condensing Steam Turbine Power Calculation.
From www.youtube.com
how to calculate turbine efficiency YouTube Condensing Steam Turbine Power Calculation calculate steam turbine performance estimates. The calculator can calculate turbine isentropic efficiency if the steam. Point 1 = turbine inlet, point 2 = low. total hp required for the steam turbine and pump = 250 + 10 = 260 hp; power generation in steam turbines is calculated based on difference between the heat content of inlet steam. Condensing Steam Turbine Power Calculation.
From www.weg.net
Steam Turbine Reaction technology Condensing MCT Line Reaction Technology Condensing Condensing Steam Turbine Power Calculation calculate steam turbine performance estimates. Point 1 = turbine inlet, point 2 = low. condensing steam turbines operate with greater pressure drops throughout the turbine which results in large power output. total hp required for the steam turbine and pump = 250 + 10 = 260 hp; The calculator can calculate turbine isentropic efficiency if the steam.. Condensing Steam Turbine Power Calculation.
From www.nuclear-power.com
Condensing Steam Turbine Characteristics Condensing Steam Turbine Power Calculation The calculator can calculate turbine isentropic efficiency if the steam. power generation in steam turbines is calculated based on difference between the heat content of inlet steam & extracted steam. total hp required for the steam turbine and pump = 250 + 10 = 260 hp; This is the power needed by the steam turbine including. calculate. Condensing Steam Turbine Power Calculation.
From www.slideserve.com
PPT Design &Types of Steam Turbines PowerPoint Presentation ID5327050 Condensing Steam Turbine Power Calculation calculate steam turbine performance estimates. This is the power needed by the steam turbine including. total hp required for the steam turbine and pump = 250 + 10 = 260 hp; power generation in steam turbines is calculated based on difference between the heat content of inlet steam & extracted steam. Point 1 = turbine inlet, point. Condensing Steam Turbine Power Calculation.
From www.chegg.com
Solved ii) Steam enters the firststage turbine shown in the Condensing Steam Turbine Power Calculation Point 1 = turbine inlet, point 2 = low. This is the power needed by the steam turbine including. total hp required for the steam turbine and pump = 250 + 10 = 260 hp; The calculator can calculate turbine isentropic efficiency if the steam. power generation in steam turbines is calculated based on difference between the heat. Condensing Steam Turbine Power Calculation.
From www.youtube.com
Calculate Work, Power And Efficiency For Steam Turbine YouTube Condensing Steam Turbine Power Calculation condensing steam turbines operate with greater pressure drops throughout the turbine which results in large power output. power generation in steam turbines is calculated based on difference between the heat content of inlet steam & extracted steam. This is the power needed by the steam turbine including. calculate steam turbine performance estimates. total hp required for. Condensing Steam Turbine Power Calculation.
From www.numerade.com
SOLVEDA steam cycle has turbine inlet at 5 MPa, 400^∘ C and a condenser at 10 kPa. it operates Condensing Steam Turbine Power Calculation Point 1 = turbine inlet, point 2 = low. total hp required for the steam turbine and pump = 250 + 10 = 260 hp; calculate steam turbine performance estimates. The calculator can calculate turbine isentropic efficiency if the steam. This is the power needed by the steam turbine including. condensing steam turbines operate with greater pressure. Condensing Steam Turbine Power Calculation.
From kosherfasr588.weebly.com
Extraction Condensing Steam Turbine Pdf kosherfasr Condensing Steam Turbine Power Calculation This is the power needed by the steam turbine including. condensing steam turbines operate with greater pressure drops throughout the turbine which results in large power output. Point 1 = turbine inlet, point 2 = low. power generation in steam turbines is calculated based on difference between the heat content of inlet steam & extracted steam. total. Condensing Steam Turbine Power Calculation.
From www.mdpi.com
Entropy Free FullText Determination of the Real Loss of Power for a Condensing and a Condensing Steam Turbine Power Calculation power generation in steam turbines is calculated based on difference between the heat content of inlet steam & extracted steam. This is the power needed by the steam turbine including. total hp required for the steam turbine and pump = 250 + 10 = 260 hp; Point 1 = turbine inlet, point 2 = low. calculate steam. Condensing Steam Turbine Power Calculation.
From www.numerade.com
Consider a steam power plant that operates on the ideal regenerative Rankine cycle with a closed Condensing Steam Turbine Power Calculation total hp required for the steam turbine and pump = 250 + 10 = 260 hp; Point 1 = turbine inlet, point 2 = low. condensing steam turbines operate with greater pressure drops throughout the turbine which results in large power output. calculate steam turbine performance estimates. power generation in steam turbines is calculated based on. Condensing Steam Turbine Power Calculation.
From www.slideshare.net
Steam turbine Working Condensing Steam Turbine Power Calculation condensing steam turbines operate with greater pressure drops throughout the turbine which results in large power output. This is the power needed by the steam turbine including. calculate steam turbine performance estimates. power generation in steam turbines is calculated based on difference between the heat content of inlet steam & extracted steam. Point 1 = turbine inlet,. Condensing Steam Turbine Power Calculation.
From www.thermal-engineering.org
What is Theory of Steam Turbines Thermodynamics Definition Condensing Steam Turbine Power Calculation calculate steam turbine performance estimates. The calculator can calculate turbine isentropic efficiency if the steam. power generation in steam turbines is calculated based on difference between the heat content of inlet steam & extracted steam. Point 1 = turbine inlet, point 2 = low. condensing steam turbines operate with greater pressure drops throughout the turbine which results. Condensing Steam Turbine Power Calculation.
From boulevarddhonoraire.blogspot.com
Steam Turbine Efficiency Calculator Condensing Steam Turbine Power Calculation calculate steam turbine performance estimates. power generation in steam turbines is calculated based on difference between the heat content of inlet steam & extracted steam. total hp required for the steam turbine and pump = 250 + 10 = 260 hp; Point 1 = turbine inlet, point 2 = low. condensing steam turbines operate with greater. Condensing Steam Turbine Power Calculation.
From www.researchgate.net
Comparison between Condensing (left) and Back pressure turbine (right). Download Scientific Condensing Steam Turbine Power Calculation This is the power needed by the steam turbine including. The calculator can calculate turbine isentropic efficiency if the steam. calculate steam turbine performance estimates. power generation in steam turbines is calculated based on difference between the heat content of inlet steam & extracted steam. Point 1 = turbine inlet, point 2 = low. total hp required. Condensing Steam Turbine Power Calculation.
From www.chegg.com
Solved 3.4 A Steam Turbine The Mass Flow Of Steam Enterin... Condensing Steam Turbine Power Calculation total hp required for the steam turbine and pump = 250 + 10 = 260 hp; power generation in steam turbines is calculated based on difference between the heat content of inlet steam & extracted steam. calculate steam turbine performance estimates. This is the power needed by the steam turbine including. condensing steam turbines operate with. Condensing Steam Turbine Power Calculation.
From www.chegg.com
Consider a steam power plant operating on the ideal Condensing Steam Turbine Power Calculation total hp required for the steam turbine and pump = 250 + 10 = 260 hp; calculate steam turbine performance estimates. condensing steam turbines operate with greater pressure drops throughout the turbine which results in large power output. This is the power needed by the steam turbine including. power generation in steam turbines is calculated based. Condensing Steam Turbine Power Calculation.